Follow the FOURTH PILLAR LIVE channel on WhatsApp
തിരുവനന്തപുരം: വയനാട്ടിലടക്കം കേരളത്തിൽ പ്രകൃതിദുരന്തങ്ങളുണ്ടായ വേളയിൽ രക്ഷാപ്രവർത്തനത്തിന് എത്തിയ ഹെലികോപ്റ്റർ വാടകയായി 132.61 കോടി രൂപ നല്കണമെന്ന വ്യോമസേനയുടെ കത്ത് പുറത്ത്. ഏറ്റവും ഒടുവിൽ മുണ്ടക്കൈ ഉരുൾപൊട്ടലിന്റെ രക്ഷാപ്രവർത്തനത്തിന് വന്ന ഹെലികോപ്റ്ററിന്റെ വാടകയായ 13.66 കോടി ഉൾപെടെ ചേർത്ത് തുക ഉടൻ അടക്കാൻ പ്രതിരോധമന്ത്രാലയത്തിനുവേണ്ടി എയർ വൈസ് മാർഷൽ വിക്രം ഗൗർ സംസ്ഥാന ചീഫ് സെക്രട്ടറിക്ക് അയച്ച കത്താണ് പുറത്തായത്. വയനാട് ഉരുൾപൊട്ടൽ ദുരന്തബാധിതരെ പുനരധിവസിപ്പിക്കുന്നതിന് സംസ്ഥാനത്തിന് അർഹമായ സഹായം തടയാൻ ആവുന്നതെല്ലാം ചെയ്യുന്നതിനിടെയാണ് അങ്ങോട്ട് പണം പിടിച്ചുവാങ്ങാനുള്ള നടപടിയുണ്ടായിരിക്കുന്നത്.

ഹെലികോപ്റ്റർ വാടക ഉടനെ അടയ്ക്കണമെന്ന് കേന്ദ്ര സർക്കാർ കേരളത്തിനുമേൽ ശക്തമായ സമ്മര്ദ്ദം ചെലുത്തുകയാണ്. ദുരന്തനിവാരണവുമായി ബന്ധപ്പെട്ട ഏതു കത്തിടപാടു നടത്തിയാലും ആദ്യം ഈ തുക ഒടുക്കൂ എന്ന മറുപടിയാണ് കേന്ദ്രത്തിൽ നിന്നു ലഭിക്കുന്നത്. സംസ്ഥാന ദുരന്ത പ്രതികരണ നിധിയിൽ (എസ്.ഡി.ആർ.എഫ്.) ആവശ്യത്തിന് ഫണ്ടില്ലാത്തതിനാൽ തുക ഒടുക്കാൻ കേരളം മറ്റ് മാർഗങ്ങൾ തേടുകയാണ്.

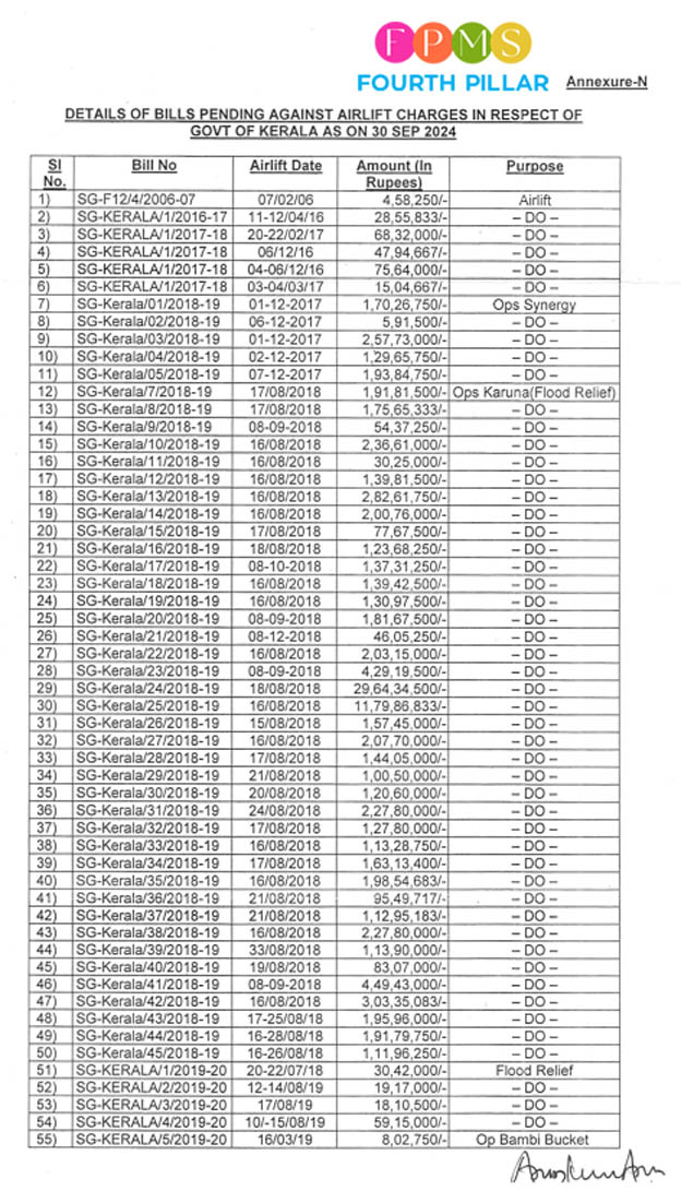
വ്യോമസേന ആവശ്യപ്പെട്ടിരിക്കുന്ന ബൽ തുക 132,61,98,733 രൂപയാണ്. സംസ്ഥാനത്തിന്റെ വിവിധ ഭാഗങ്ങളിലെ ദുരന്തനിവാരണത്തിനായുള്ള എസ്.ഡി.ആർ.എഫിൽനിന്നാണ് തുക നൽകേണ്ടത് എന്നതിനാൽ ഹെലികോപ്റ്റർ ബിൽ ദേശീയ ദുരന്ത പ്രതികരണ നിധിയിൽ (എൻ.ഡി.ആർ.എഫ്.)നിന്ന് നൽകണമെന്ന നിലപാടായിരുന്നു സംസ്ഥാനത്തിന്. എസ്.ഡി.ആർ.എഫിലെ അവശേഷിക്കുന്ന തുകയിൽനിന്ന് 638.50 കോടി രൂപ വിവിധ പ്രവൃത്തികൾക്കായി നൽകാനുള്ളതാണ്. ഇക്കാര്യം കഴിഞ്ഞദിവസം ഹൈക്കോടതിയെ അറിയിച്ചിരുന്നു. ഇതുകൂടി നൽകിയാൽ ഈ വർഷം എസ്.ഡി.ആർ.എഫിൽ ഫണ്ട് ബാക്കിയുണ്ടാകില്ല.

ദുരന്തമുണ്ടായി നാലര മാസമായിട്ടും ഒരുരൂപ പോലും കേരളത്തിന് സഹായം നൽകാതിരിക്കെയാണ് ഹെലികോപ്റ്റർ ബില്ല് ഉടൻ അടയ്ക്കാനുള്ള നിർദേശം. ജൂലൈ 30ന് ഉരുൾപൊട്ടലുണ്ടായ ദിവസംമുതൽ സംസ്ഥാന സർക്കാർ സൈന്യത്തിന്റെ സേവനം ആവശ്യപ്പെട്ടിരുന്നു. അന്നത്തെ മാത്രം ഹെലികോപ്റ്റർ ബില്ല് 8.92 കോടിയാണ്. സമൂഹതിരച്ചിൽ നടത്തിയ ഓഗസ്റ്റ് 14ന് സൂചിപ്പാറയ്ക്ക് സമീപം കണ്ടെത്തിയ മൃതദേഹാവശിഷ്ടങ്ങൾ നീക്കിയതിനാണ് അവസാനമായി ഹെലികോപ്റ്റർ ഉപയോഗിച്ചത്. ഇതിനുമാത്രം 29.60 ലക്ഷം രൂപയാണ് ബില്ല്.
2018–19 പ്രളയകാലത്തെ ഉൾപ്പെടെയാണ് ബില്ലുകൾ വന്നിട്ടുള്ളത്. 2018ലെ പ്രളയകാലത്ത് ഹെലികോപ്റ്റർ വാടക 93.40 കോടിയാണ്. ഇതിന്റെ ബില്ല് കേന്ദ്രസർക്കാർ അയച്ചത് 2019 അവസാനമാണ്. അപ്പോഴേക്കും കേരളം മറ്റൊരു പ്രളയംകൂടി നേരിടേണ്ടിവന്നിരുന്നു. 2019ലെ പ്രളയകാലത്ത് കേന്ദ്രത്തിന്റെ സാമ്പത്തിക സഹായം ലഭിച്ചില്ലെങ്കിലും ഹെലികോപ്റ്റർ ബില്ല് വന്നു -2.15 കോടി രൂപ. 2018ലെ പ്രളയകാലത്ത് സംസ്ഥാനത്തിന് അനുവദിച്ച അധിക അരിയുടെ വിലയായി 205.81 കോടി കേന്ദ്ര സർക്കാർ ചോദിച്ചു വാങ്ങുകയും ചെയ്തു.























